古江戸物語: Appendix.

10 Appendix

この Appendix は,なくても良い appendix である。いや,むしろ無い方が良い appendix である。ならば無しにしておけと言われると,確かにその通りでもあり,実際迷う所ではある。しかし,ひとたび無い方が良いという判断を認めてしまうと,「果たして無い方が良いわけではない章は在るのだろうか?」という根源的問題が浮上してしまう。それは困る。したがって,この Appendix は存在する。

本来のテーマは,Tabatha さんの主張する,三女神についての "Tabatha Hamilton's Theory" であり,手前勝手に理屈っぽい。こんな言葉をもて遊ぶような話は,ソーニャさん相手にしておいてくれれば迷惑は限定されるのだが,Tabatha さんのレクチャーを拝聴したのは,よりによってクララさんと Katz 伯であった。。そのため Tabatha さんは妙な才能を発揮してしまい,この気の毒なふたりは散々振り回され,大変に迷惑を被ったのである。

それでは,Tabatha さんに翻弄されるお二人の物語を:

Tabatha さんの隠れ家

それはクララが Katz 伯の妻となって間もない頃のことでした。間もない頃と言っても,お嫁入り前後のふたりだけの結界に囲まれていた状態はようやく終わって,周りの人々とのお付き合いを心から楽しめる程度には落ち着いた頃のことです。

その日,クララが Katz 伯にエスコートされて Tabatha さんのお宅を訪ねたのは,数日前に司教さまのためにお借りした「カタリ風パフェのレシピ」をお返しするためだったのです。実を言うと,お返しするためだけならば,なにも自分で行かなくても礼儀に反するわけではなかったのですが,クララさんにはもうひとつ,Tabatha さんにお目にかかって三女神についてのレクチャーの続きを拝聴したい,という理由があったのです。

Tabatha さんは,彼女のお気に入りの友達と会うときには,豪奢な "Tabatha 邸" ではなく,隠れ家のような "日本風家屋" にお招きすることが多かったのです。この隠れ家は,愛染川を望む明るい南斜面を越えて北側に少し降りた,静かな北斜面に在ります。木立の中を隠れ家へと続く,湿った土に飛び石の埋められた曲がりくねった小道の脇には,井戸が在ったり,苔むした岩が設置されていたり,果ては道の脇に水琴窟が仕掛けられていたりと,"日本風" の情緒一杯であり,まあ,それなりに日本様式にはなっています。

変わっているのは,どっしりした古木を用いた隠れ家の,玄関らしき所に着いてからです。玄関の引き戸にはドアノッカーの類いはないので,とりあえず勝手に引き戸を開けて玄関に入ってみることにしましょう。薄暗い廊下が伸びる玄関には,鉄瓶のような色の鈴が置いてあり,この鈴が「頼もうー」の代わりのようです。しかし,本当にそうなのか・・・・・・

クララたち二人は,ここを訪れるのは初めてではないので,要領は心得ています。クララさんに促された Katz 伯が鈴を鳴らすと,ちょっとした間があって,廊下を曲がった向こうから,

「にゃー! ・・・ にゃー! ・・・」

と,ゆっくりと間を取った猫の鳴き真似が聞こえてきます。正直なところ,猫鳴きとしてはあまりにも均一にして律儀であり,お世辞にも上手とは言えないのですが,ここまではっきりと「にゃー」と言っているのですから,猫のまねであることだけは確かです。廊下の角に微かな明かりの影が揺れて,登場するのは座敷童のような二人組。先頭の小さな男の子はぼんぼりのような明かりを両手に持ち,その後ろに続くもっと小さな女の子は,棒の先に提灯のついた妙なお道具をもっともらしい手つきで掲げています。猫鳴き役は先頭の男の子です。女の子はついて歩いているだけですが,これも大切なお役目なのでしょう。

座敷童ふたり組はゆっくりとお辞儀をして,「にゃー!」を三度繰り返す間そこに立っているのですが,それが終わるとそのまま方向転換して,廊下の奥に歩いて行きます。もちろん,これは「ついてこい」ということですから,クララたちは靴を脱いで,黒光りのする廊下の木の感触を楽しみながら,ついて行きます。靴を脱ぐのに手間取っても,座敷童の歩みは鈍いので,心配はいりません。

廊下は,京都の詩仙堂のような部屋とか,文明開化の頃の古い洋館といった作りの部屋とか,そんな部屋を見せながら,"リビング" へと続きます。そこは,リビングと言うのか客間と言うのか,それとも書斎と言うのか,なんと呼ぶべきかは迷うところですが,お客様用と思われる居心地の良さそうな布張りのソファーがあり,クルミの木のテーブルを挟んで背もたれも肘掛けもない籐細工の丸椅子二客が置かれ,応接セットらしきものを構成しています。その脇にはアフタヌーンティーの準備をするためのテーブルがあり,ここまでは客間風なのですが,飾りを廃した部屋の窓際の角には,大きな作業机,なんと言うのか錬金術師風の賢者がコンパスと定規を手に考え事をしている姿が似合いそうな,どっしりとした作りの机が置いてあって,しかし,その上には髑髏ではなく時祷書が置いてある,といった具合です。時祷書はそれは見事なものであり,この地がやがて穢土となってしまうことを知っている私たちは,ベリー公がここまで回収の手を伸ばしてくれたのか心配になってしまう程です。

まあ,何と言うか,ここまではそれなりと言えばそれなりなのですが,暖炉の上にお寿司屋さんで出て来そうな肉厚の湯飲みが置かれているのは,これはもう場違いとしか言いようがないでしょう。しかも,湯飲みには「鯖」とか「鮪」とか書いてあるのではなく,横書きで はじめに私が在った
私は世界であった
世界にあなたが生じ
世界はあの人たちのものになった

などという意味不明なたわ言が書かれているのですから,これはもう完全なる悪趣味であり,止めて欲しいものです。「チラシの裏にでも書いておけ」という言い回しはありますが,「湯飲みにでも書いておけ」とは言わないのです。

嬉しそうにふたりを迎えた Tabatha さんは,しばらくの間,礼儀正しいご婦人らしく普通の会話で我慢していたのですが,ふと思い付いたかのように「ちょっとお待ち下さいね」と言って立ち上がり,奥に引っ込んでしまいました。そして,一振りの日本刀を持ってきたのです。

「 Katz さんはカトリーナから聞いてご存じでしょ。これは,備前 "一葉ひとは" です。日本の刀の扱い方は心得ていらっしゃいますよね。どうぞ,お手にとって御覧下さい」

Katz さんは神妙に刀の拵えを拝見しています。鞘から抜いて刀身を観たかったのですが,カトリーナ以外のご婦人方,なかでもクララ,の守護者である騎士 Katz 伯は,か弱きご婦人の側で刃物を露出させることを躊躇っているのです。もちろん,Tabatha さんは,お見通しです。

「騎士さまにとって,刀は観賞用ではないですよね。ここは狭いですから,庭にお持ちになって振ってみられては? Katz さんは,オイタして竹を切ってみたりなさらないでしょうしね」

あからさまにして的確な御注意つきとは言うものの,この有り難いお申し出を頂いた Katz さんは,もちろん日本風に一応は遠慮して見せてからですが,「樋に一葉」をもって嬉しそうにリビングから出て行きました。

なんとも見事なお姉様風 Katz あしらいを面白そうに観ていたクララは,Tabatha さんが三女神関連の話題に先立って二人だけで静かに話したがっていることを察して,懸案のテーマを持ち出したのです。

若い母親の死

「この前おっしゃっていた,日本版の "若い母親の物語" が違うということですけど」

「ええ,あの話ですね。ごめんなさい,クララさん。"違う" と言うのは言い過ぎです。私にとって違う,ということなのです。私のお友達が,彼女は椎名様に仕える老騎士のお嬢さんだったのですけど,彼女はまだ若かったのに,小さな女の子を残して亡くなったのです。突然の事故で。私には,あくまでも私にはですけど,あのお話は,彼女が間違えて見ていた話としか思えないのです。あのお話は日本の古い物語なのでしょうから,"思えない" というのは私にとってと言うだけのことです。なんでそんなことになってしまったのかと言うと,私には変な知覚,知覚というよりは特殊な能力としか言いようのないものなのですが,そんな変な能力があって,それが原因なのです」

「すごい! いわゆる超能力ですね。司教さまはお嫌いのようですけど」

「本当に嫌な能力なのです。人にはない特殊な能力と言えばすごいみたいですけど,こんな力,失うことが出来るならどんなに良いか。つまり,その能力というのは,死んでからあまり時間が経っていないひとの姿が見える,というものなのです」

「いつでも?」

「いいえ,死んだ人なら誰でもということはないし,しばらく時間が経てば,見えなくなります。だいたいは,知っている人です」

「じゃあ,わたしも死んだら会いに行きますわ!」

「クララさんは自信満々。そうでしょうね,クララさんはフラフラ彷徨ったりはしないでしょうね。でも,彼女はそうではなかったのです。そうね,彼女も彷徨ったりはしなかったのですけど,彼女にはあの子がいたのです。だから私は,彼女の年老いたお母さまに斎場まで一緒に来てくれと頼まれたとき,行きたくなかったのです。けれども,お母さまは本当にお気の毒で,わたしは断ることが出来なかったのです」

「サイジョウって ・・・ ・・・あの,イングランドには存在しない特殊施設ですね?」

「ええ,火葬でした。炉の前までお見送りして,控え室で,焼けて骨になってしまうのを待つのです」
「あの子は,まだ何が起きているのか分からなかったのでしょう。皆が泣いているし,おかあさんはいないので不安そうでしたが,お菓子をもらうとニコニコして食べていました。それなのに,控え室で待っているうちに,それまでなかったほどひどく泣き始めたのです。控え室に親戚の人たちがたくさんいたので,叔母さんがあの子を庭に,控え室の大きなガラス窓から見える芝生の庭に連れて行きました。彼女の夫は喪主ですし,母親は足が悪かったので,一緒について行くことは出来なかったのです。ガラス越しに,庭の向こうでしゃがんで泣いている姿が見えました。叔母さんは,どうにもならないことは分かっているのでしょうが,その背中をさすっています」
「恐れていたことが起こりました。身体が焼け始めると,彼女は炉の中で起ち上がったのです」

「だから火葬は嫌!」

「心配しないで,クララさん,死んでいるのだから痛みとかの感覚はないのです。それどころか,彼女だった身体と,そこから起ち上がった彼女は,もう何の関係もありません。ただ,それがまだ自分だと誤解して,慌ててしまうのです。しかし,どんどん焼けていく身体を見ている内に,それから炎の中なのに熱くもなんともなくそこに居る内に,自分が "彼女" ではなくなってしまったことに気づくはずだったのです。そして,私の視界から消えて行くはずだったのに」

「嫌です! Tabatha さん! やはり熱かったのですか!」

「心配しないで。そうではないのです。それどころか,彼女は身体が焼けることなど関心は無かったのでしょう。彼女の関心は唯ひとつ。残して行く子供が心配で心配で,そして,どうしても離れたくなかったのです。彼女は起ち上がると,炉の壁を通り抜けて,まっすぐにこちらに来たのです。親戚のおじさん連中は相変わらず,控えめにですが,同窓会のような話題で盛り上がっています。彼女は控え室に入ってきました」

「怖くないのですか? Tabatha さん。どんな風に見えるのですか? 」

「怖くはありません。姿が見えることには慣れているので。どんな風に見えるのか,と言われると,そうですね,不思議なんですけど,ある意味では私にも分からないのです。透き通っていて,視界を遮ることがないのに,姿は見えるのです。しかも,お棺に納められたときの装束ではなく,いつもの姿で」
「突き放した言い方をするならば,見えているのではなく,私に想像させているだけでしょうし,もっと言うならば,想像させているのではなく,私の妄想に過ぎないと言うこともできるでしょうね。でも,私にとっては,今,目の前にクララさんが居るのと同じくらい,はっきりとした現実なのです。見えているのに透明ということだって,クララさんの身体の中があるのに表面しか見えないのと同じ事」

「話しかけた?」

「ええ,でも,彼女には私は見えませんでした。人によっては(人と言って良いのかしら?),話しかけることもできるのです。不思議ですが,私が話しかけることは出来ても,死者(と言うべきですね)の声を聞くことは出来ないのです。話しかけると,うなずいたり微笑んだりしてくれるので,私の話が聞こえていることはわかるのですけど。しかし,彼女はそれどころではなかったのでしょう。彼女はあの子を探していたのです」

「その子は ・・・ ・・・芝生の庭」

「ええ。庭の向こうで,叔母さんに連れられて。ずっと泣いていました。しばらく控え室を彷徨っていた彼女は, 泣き声に気づきました」
「恐ろしいことです。彼女は,泣き声がどこから聞こえているか聞き取ることが出来て,庭の方に行こうとするのですが,ガラスに遮られて庭に出ることが出来ないのです。あんなに厚い壁の炉からはあっさりとすり抜けて来たのに! しかも,まったく迷うこと無しに控え室に来ることが出来たのに,透明なガラスの向こうの庭は見ることができないようなのです。泣き声だけ聞こえて,見えないガラスに遮られて。彼女は,談笑中のおじさん連中を攻撃し始めました」

「・・・ ?」

「攻撃をしているつもりなのでしょう。叩いたり突き飛ばしたりするのですが,"作用" ということはできないのです。幻を叩いているかのように,すべて空振り。最初,私は彼女が怒っているのかと思ったのです。あの子が泣いているのに,同窓会をしているのですから。でも,彼女は助けを求めていたのです。すぐに彼女は,見えない障壁の所に戻りました。どうしようもなく,悲しい姿でした。ガラスにすがりつき,膝をついて崩れ落ちて,それから彼女の姿は,ゆっくりと見えなくなっていきました」

「Tabatha さんは ・・・ なにも ・・・ なんかしてあげられることは」

「クララさん,わかります。でもね,彼女は私には気づかず,それどころか,夫も母もそこに居たのに,その人たちにも気づかないのです。気持ちはすべて,あの子に向いていたのです。彼女が見ることが出来たのは,彼女にとってどうでもいい人たちだけ。そして,控え室には真っ直ぐ来ることが出来るのに,あの子の居る庭は分からないのです。一番大切だから,会うことが出来ないのです」
「つまりね,クララさん,彼女は別れなければならなかったのです。たいていの人は,自分の身体が一番大切。だから,身体が焼けたり腐ったりすれば,そこから離れることが出来るのに,彼女は」

「せめてもういちど,いちどだけでも! それに,西洋の "若い母親の物語" だって,抱きしめることは出来なかったにしても,それでも,こんな酷くはない!」

「本当に! でもね,クララさん。それは,その若い母親がそうなることができたから。そして,この若い母親が受け入れることができずに引き裂かれたのは,そうなるしかなかったから。それがなぜなのかは,私たちには分かりません。でも,それは生まれた途端に母猫からはぐれて,楽しいことはなにひとつ無しに辛い死にかたをする子猫がいるのと同じ事」

「Tabatha さん,ひどい!」

「ごめんなさい,クララさん。ひどいですね。ひどいのですけど,話したり考えたりすることが出来る間の "ひどいこと" ならば ・・・・・・ 」
「クララさん,Katz さんが戻ってきたようですね。そう,クララさんは Katz さんに守られているだけでなく,司教さまとか色々な人が守ってくれているのだから。そうね,クララさんを守ってくれているのは "人" ではなくて "人の子" ですしね。クララさんはこんな話を聞いても,ご自分のことはなにも心配していないでしょ? 心配なのは Katz さん?」

クララさんと Tabatha さんの,ふたりだけの深刻な話は,Katz さんが戻ってきたせいで肝心なところで終わってしまいました。備前の名刀を思う存分振り回してハイテンションの Katz さんは,ちょつと荒々しくクララさんをハグしてから,騎士らしい完成された所作で Tabatha さんにお礼の言葉を述べて,それからとても残念そうに「樋に一葉」をお返ししたのです。

「振りやすい刀です。反りも少ないしこんな名刀があれば・・・・・・ もっとも,しょせんカトリーナには敵わないのですけどね。カトリーナならその机の上のペーパーナイフしか手にしていなくても」

「ペーパーナイフ!  そう,クララさん,ペーパーナイフです。 マリア様の胸に突き刺さるあの悲しみの短刀ですけど・・・・・・」

「シメオンの予言ですね。でも,それが?」

Tabatha さんはペーパーナイフからの連想で,[二歳の幼子ではなく三十を過ぎているけれど]肉を削がれた我が子が死んで行く姿を遠くから見つめるしかなかった聖母について,なにか話したかったのでしょう。しかし,聖母信仰の抱える微妙な背景を, 繊細さを欠く単純明快な Katz さんと,安心と愛情に包まれて強く育ったクララさんに話すのは無理と判断して,あっさりと諦めたようです。

Tabatha さんは話題を共通の知人の噂話に切り替え,しばらくは普通の人々の会話が続いたのですが,Tabatha さんは Tabatha さんなのです。世間話から巧妙に,根古名三女神についての "Tabatha Hamilton's Theory" へと話題を切り替えて行きます。そして,たいした前振りもなく,いきなり実習を始めました。

Tabatha Theory

それがどうかしました?

「クララさん,もっと近くにいらっしゃい」

Tabatha さんはクララを近くに呼び寄せ,ドキッとするくらい顔を近づけて,じっと目を見つめて

「わたし」 「あなた」 「あの人」

と言いました。"あの人" は Katz さんのことです。Katz さんは警戒して怪訝そうな顔をしています。

「クララさんも同じ事を言ってごらんなさい」

クララは素直に応じます。

「わたし」 「あなた」 「・・・・・・あの人」

「そうなのです。
 クララさんの言う "わたし" は 
 私にとっては,"あなた"。
 そしてクララさんは 私のことを
 "あなた" と言うのです(私なのに!)。
同じ事が,クララさんから見ても言えるでしょ。しかし,"あの人" は,どちらにとっても同じで,あの人」
「クララさんも私も,こんなことは当たり前のように知っているので,混乱することはないのです。そして,"あの人" は私たちの世の中ではたくさん居るので,区別するために "Katz さん" とか "安房さん" とかね」

Tabatha さんは,「それがどうかしました?」としか言いようもないことをおっしゃってから,クララさんに言いました。

「クララさん。Katz さんの所に戻って良いですよ」

クララは Katz の隣に座り,Katz の手を取って励ますようにギュッとしました。たぶん,「あなたは "あの人" じゃなくて,あ・な・た!」ということなのでしょう。Tabatha さんの説明は,まだまだ続きます。

わたしの Dual

さて,ここからは(ここまでも?)話しているのは,ほとんど Tabath さんなのです。

「ここまでは,不思議だけど小さいときから馴染んでいるので当たり前に思えること。それでは,つぎは dual です。人間にとって,dual は 私の内側と私との dual です。でもね,私の内側という言葉は気をつけなければいけません」

「口を開けると喉の奥まで見えるでしょ。でも,それは外側の延長としての内側です。それから・・・・・・,それから Katz 君! ニヤニヤして君は何を想像しているのですか? ちゃんとお聞きなさい」
「Katz さんは騎士だから,お腹を切られて内臓がこぼれてピクピクしているのを見たことがあるでしょ? しかし,それは内側と言っても異常な状況における外側の延長。腸が切られて中身が飛び出していても同じこと」
「ごめんなさい! クララさん。そんな嫌そうな顔をしないで。もうこんな惨い話しはしないから。柔らかな話にしましょうね」
「大切なのは外側の延長でない内側なのです。それはね ・・・・・・ そう,例えば,クララさんが愛染川の畔のベンチに座って空の雲を見上げながら小鳥の声に耳を澄ませているでしょ。"空の上の方はどこまで続いているのかしら" とか思いながら。これが "私" であって,この "私" の内側がクララさんの "内側の私" なのです。胃とか腸ではなくて,分からないけどそこにあるのが "内側の私" 」

Tabatha 慣れしているクララさんは,とりあえず我慢して,おとなしく話を聞いています。

Tabatha さんは,それもお見通しのようですが,かまわずに話しを続けます。

「内側の私はいつでもそこにあるし,私と内側の私との関係は "私とあなた" のような関係です。内側の私にとっては,内側の私が私であり,内側の私にとって私は内側の私なのです。けれども,私と内側の私は見つめ合うことは出来ません。私と内側の私が出会うのは,死です」
「これが dual ということ」

好き勝手に話し続けてきた Tabatha さんも,ここまで来るとさすがに暴走に気づいたようで,しばらく考えてから話を元に戻します。

「やはり,内側の私はわからないものですよね。そう,もう一度最初に戻ってみましょうか」

「イングランドに帰ってウォーリック公爵夫人のディナーに招待されているとしましょう。みんな背筋をちゃんと伸ばして上品なお話をしながら,真っ直ぐに前を向いて頭を傾けることもなくスープを飲んでいます。この場所に絶対に在ってはならないものは,身体の内側に属するものです。まさか,テーブルの上にそんなものがあったら,それは世界の終わりのような出来事ですね。内側に属するものは,たとえ気体であっても,その場に在ってはいけないのです。それどころか,スープが内側の世界に入っていく,という現象も,生々しい行為であってはいけないのです。だから,スープが虚空に消えていくような召し上がり方が上品なのです。とってもおかしなことですよね。そうやって内側がないように振る舞いながら,公爵夫人も王女様も,しっかりと内側を抱えていらっしゃるのですから」

「内側は無いことになっているのです。しかし,この無いはずの内側と外側の境界である身体(つまり,クララさんの場合はクララである私)には,常に意識を集中してお作法通りの優美な振る舞いをするように気をつけなければなりませんね」

「それから,そこは "あの人" がたくさんいる "あの人たちの世界",つまり,最初に "外の世界" と言っていた世界です。ここでも,"私" と "あなた" は出てきますけど,それは "クララさま" とか "フラナガンさん" を簡単に言うための省略記号のようなものです。もちろん,その席に Katz 伯が招待されていたならば,どなたかふたりは "わたし" と "あなた" の世界を作ってしまうのかも知れませんが,長い時間そこに留まってしまっては,礼儀に反しますよね。"みんなの世界" と "わたしとあなた" の世界は少し重なることは出来るのですが,両立し続けることはできません。"わたしとあなた" の世界は波間に浮かぶ泡のように,"みんなの世界" のあちこちに生じては消え,そしてまた,生じては消えて行くのです」

「ですから,"あの人たち" は単なる登場人物ではないのです。"あの人" は[クララさんと Katz さんほど本格的ではないですけど]一時的にはクララさんと "私とあなた" の関係を発生させることができるのです。つまり,クララさんのことを "あなた" として認識するのです(私なのに!)。これだから,クララさんは "クララである私" を作って "あの人のようなもの" にして,しっかりと制御しなければならないのです」

「難しいのはクララである私でもなく省略記号でもない "わたし" ですよね。それでは,森の中をひとりの男が彷徨っているとしましょう。すべてがうまく行かないのです。歳はそろそろ三十代も終わりに近づき,身体はだらしなく太っていて,根っこに足を取られ蜘蛛の巣にまとわりつかれながら歩いているのですが,息があがってゼーゼーと苦しそうです。世の中がだいっきらいで,自分のことは,もっと嫌いです。さっきから喉が渇いてしょうがありません。せせらぎの音が聞こえると思ってそっちに進むと,それは松の枝が風に鳴る音です。そんなことの繰り返しで,すっかり嫌になっているのですが,喉はもう死にそうに乾いています。けれども,死にそうということと死ぬということの間の隔たりは大きいのです。つまり,死ぬことは出来ません。とにかく本当に一口で良いから水が飲みたい」

「こうして彷徨って彷徨って,またあの音だなあ,と嫌になりながら木々の間を抜けると,目の前に小さな滝が現れます。あれほど欲しかった水は,次から次に惜しげもなく流れています。冷たく透き通った水。濡れた岩肌。水滴を浴びてそこに咲く真っ白な花。こんなに速く流れて行くのに,それでも,いつまでも尽きることなく流れて来る水。すべては何と不思議で美しいのでしょう。あんなに喉が渇いていたのに,水を飲むことも忘れて,そこに居ます」

「そこにはあの嫌な "自分" は居ません。目の前の景色だけがそこに在ります」

「この,"私" がそこに居ない目の前の景色を見ているのが "私" です。と言うよりは,目の前の景色が私と言った方が良いのかも知れませんが」

「けれども,そのうちに,あの嫌な "私" が戻ってきます。結局の所,何も変わっていません。透き通った水が惜しげもなく流れる滝は,そのような外の世界のものにもどります。喉が渇いているのだから水を飲むことにしましょう」

「あの嫌な "私" というものは,外の世界,この場合は"あの人たちの世界"の視点に属しているのであり,それは,"私" がそこに居ない目の前の景色の中には在ってはならない存在なのです。そうですね,上品なお食事の席に(外の世界での)"内側の私" に属するものが在ってはならないのと同じです。嫌な "私" が "嫌な" であることが在ってはならないことの理由ではありません。"なんて美しいぼく" だとしても,それは滝に魅入ることの邪魔になるでしょうね」

「こんな風に考えると,この "私の居ない世界" では "外の世界の私" が "ぶち壊しにするもの" の役割を担っているので,"私の居ない世界" での "内側の私" の正体は "外の世界の私" であると言いたくなるかも知れませんが,そうではないのです。"外の世界の私" は "私の居ない世界" を "外の世界の私がいる外の世界" に変えてしまうという意味でぶち壊しにするだけです。私の居ない世界には私は居ないのだから,内側の私の居る場所もありません。内側の私がそこに現れるならば,それは混乱であり,その世界を壊してしまいます。そして,壊してしまうものは外の世界のものではないので,壊れてしまった世界の行き先は,死ではないでしょうか」

「つまり,外の世界では,外からの延長である内側の私は死として現れますが(惨い表現は控えておきますね),それは他の人の死と同じものが自分にやってくるという,外側の世界での私の死。一方,私の居ない世界に内側の私として登場する死が壊すのは,世界です。私は居ないのですから。これが私の死。 dual としての内側の私は,こちらなのですが,外の世界での内側の私との混乱は避けることが出来ません」

「それでは,神々の世界での dual です。"私" と "内側の私" との dual は混乱なしには捉えられないのに,神々の世界では dual はなにげなくそこに存在するようです。それは,月のように輝く銀のお盆をふたりで持って,互いの周りを回っている "このはなのさくやひめ" と "このはなちるひめ" のような存在です。私たちは,このおふたりのどちらが "このはなのさくやひめ" でどちらが "このはなちるひめ" であるかわかりません。おふたりは楽しそうにクルクル回っていて,突然立ち止まるとお互い見つめ合い,唇を近づけます。そして Katz さんが期待して身を乗り出す間もなく,ふっと消えてしまうのです。しばらくすると,突然,別の場所に現れて,クルクル回っています。これが神々の dual」

「この美しい dual には,人に関わらない限り,汚さもお淫らも死の臭いも在りません。[外の世界での] "外と内の dual" を引き込んでしまうのは,人と関わって,この2人のどちらかを人の世界に招いたときです。日本の昔のお話では"このはなのさくやひめ"が人に近づきつつある神の妻となり,そして寿命は短くなるのですけど,それなのに,こちらが"咲く"という名前なのです。なんて優美な感性なのでしょう」

Tabatha Diagram

「次は三女神なのですけど,その前に少し整理しておきましょうね」

Tabatha さんは大きな紙をもってきました。

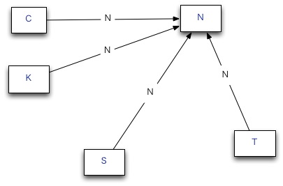
「まず,いわゆる客観的な世界から。クララさんと Katz さん,それから ソーニャさんとナウシカさんと,カトリーナ ・・・ ・・・カトリーナは頭文字が K で Katz さんと同じになるから止めておきましょうね。代わりに Tabatha」

(カトリーナを Katharina と綴るとは,Tabatha さんはドイツ系?)

「 C, K, S, N, T と書いた四角を用意しておきましょう。これが "あの人" がたくさん居る私たちの世界ですね。ソーニャさんからナウシカさんに矢印を書いて,これが,ソーニャさんの視点からのナウシカ。ソーニャさんの視点からのナウシカは,もちろん,ナウシカさんですから,矢印には頭文字 N を書き込んでおきましょう。他の人から引っ張った矢印も,みんな N。こうして,ナウシカに入る矢印が4つ出来て,そこに書いてある頭文字は全部 N」

「それでは,ここが大切なのですけど,最初に四角の中に書き込んだ頭文字は全部消してしまいましょう。これは要らないのです。そこに入ってくる矢印全部に N と書いてある四角がナウシカなのですから」

「これは大切なすり替えです。まずナウシカが居て,だから皆は彼女をナウシカとしてみる,という見方から,皆がナウシカとしてみているからナウシカというふうに,ナウシカの実体性を少し奪い取っているのです」

「それから,ナウシカに4本の矢印が引かれていますけど,ナウシカさん本人からも,ナウシカから出てナウシカ自身へ入る矢印があるはずです。これはナウシカの視点でのナウシカ。でも,この場合は,向きは要らないので,ナウシカから出てナウシカに入る曲線で良いはずですよね」

「それでは,最初に書いておいた四角を全部消して,その代わりに小さな白丸を書いて,その中に C, K, S, N, T と書いておきましょう。四角が丸に代わっただけですけど,解釈が違うのです。白丸の中に書かれている N は,ナウシカであることを表しているのではなくて,自分を N と思っているということです」

「Tabatha さん! それでは,アンナおばさんが自分はロシア皇女アナスタシアだと思っているのは」

「そうですね,クララさん。アナスタシアと書かれた白丸にアンナと書かれた矢印がたくさん入っている図で表せますね。でも,ここでは,そういった "誤り" は考えないことにしましょう」

「次は,見つめ合っている2人です。まず,白丸を2つ書いて,"わたし" という意味で I と書いておきます。どちらかの白丸 I からもうひとつの白丸に矢印を引くと,それは "あなた" なので,書き込む記号は Y ですね。でも,逆向きの矢印に書き込む記号も Y で同じですから,こういうときは,矢印ではなく線で結んで,そこに Y と書くことにしましょう。こうして,I と書かれた2つの白丸と,その間を結ぶ線分 Y。これが,"見つめ合うふたり" です」

「つぎは,私と内側の私です。内側の私を表す記号は -I にしておきましょう。I' とかでも良いのですけど,-I だと,I と一緒になると消滅してしまう感じが良く出てるでしょう。それに数学みたいで格好いいですし ・・・ ・・・と言うか,考えるのが嫌になった人は "数学は嫌い" と言って止めることが出来て便利なのです」

「私と内側の私は,2つの白丸で,両方とも I です。I と -I ではないので,気をつけて下さいね。内側の私も自分が私だと思っているわけですから。-I は,2つの白丸を結ぶ線分です。互いに相手を -I と見ているわけですから。しかし,どちらの白丸が "わたし" なのかという質問は無意味」

「"私" と "あなた" の図との違いは,線分の記号だけ」

実体性

Tabatha さんの身勝手な説明は,延々と続きます:

それではクララさん,早く三女神の説明に移りたいところですが,その前に,もう一言:

"ナウシカ"という存在を表す四角ではなく,自分をナウシカと思っていることを表す丸を書くことで,ナウシカさんの実体性を少し奪っていると言ったのですが,「あの人たちの世界」での矢印は「どこからどこへ」という設定から逃れることはできません。例えば,C と書かれた丸からN と書かれた丸に引かれた矢印には N と書かれているのですが,その逆向きの矢印に書き込む記号は「どこから」により決まり C です。一方,K と書かれた丸からN と書かれた丸への矢印には,やはりN と書かれているのですが,その逆向きの矢印に書くべき記号は K ですね。つまり,「N と書かれた矢印」というだけでは,その逆向きの矢印は決まらないのです。実体性を奪っていると言ってみたところで,やはり,この図式を決めているのは,C, K, S, T, N と書かれた丸なのです。

一方,「わたしとあなた」の作る小さな世界では,矢印から決まっていると見なすことができます:

  • Y と書かれた矢印の逆向きの矢印は Y であり,
  • 矢印 Y とその逆向きの矢印(やはり Y)の対が一つ
  • I と書かれたループした矢印の逆向きのループは I であり,
  • I と書かれたループの対が二つ
  • Y と I は,「Y にとってのY」,「Y にとっての I」,「I にとっての Y」 という``矢印の合成" が可能なように配置されている

つまり,この図式は矢印の図式であって,それぞれの矢印の始点と終点(まとめて節点と呼ぶことにしましょう)は,矢印の合成の中継点を表す以外の働きはありません。その意味で,節点からすべての実体性を奪っていると言って良いのです。しかし,I と言うループには,つまり,「わたし」には,とてつもない思い入れがつきまとっているのです。 図式の「数学的側面」でこそ「わたし」という節点は「単なる点」に過ぎないのですが,この「わたし」は,際限もなく巨大化したり,と思うと急に縮小し始めて超新星のように爆発したりと,要するにヤバヤバな「わたし」なのです。点を丸に変えたところで,どうなるものではないのです。

Triple

次は,triple,いよいよ,"チ・ミ・タマ" の三女神です。内側の私と違って,三女神とは出会うことも出来ます。しかし,三女神と出会うためには,"あなた" とか "あの人" とか,"Katz さん","King Arthur","カトリーナさん" とか,そういった "私の世界" から,離れなければなりません。それから,"クララである私" とか "Katz さんの妻としての私" とか "王の娘である私" とか "私の顔","私の身体" とか,"パーティーのお献立" とか,そういったものからも離れなければなりません。それらは皆,外の世界に属するものだからです。わたしとあなた世界も,ヤバヤバな「わたし」への道となるので,そこから離れなければなりません。本当に,私というだけの私となって,そこに居るのです。三女神を映す「鏡のようなわたし」になるのです。

三女神に会うと,その3人の女神さまを区別することが出来ます。そして,"チ","ミ","タマ" と名前を当てはめると,私が "あなた" と向き合うように, "チ" に向き合うことが出来て,
"ミ" に向き合うことが出来て,
"タマ" に向き合うことが出来ます。

でも,女神さまと向き合うときには,"私の世界" からは離れなければなりません。ですから,C,K,S,N,T とかの人たちからも離れるので,それらの記号は忘れてしまいましょう。それでは,三女神の記号は C, M, T にして絵を描いてみましょうね。

訳の分からない話ですが,クララはじっと考えながら聞いているようです。Katz は,もう,Tabatha さんの話は上の空で,心配そうな表情でクララの横顔を見つめています。たぶん,「そういったものから離れなければならない」というキーワードだけで,「クララから離れたくない」という気持ちでいっぱいになってしまったのでしょう。

「さあ,本当に入り組んでいるのはここからです。 "チ","ミ","タマ" というのは,"Katz さん","安房さん","小鹿君" というような,"あの人" がたくさんになったものではありません。"Katz さん" は,Katz さんにとっても,安房さんとっても,小鹿君にとっても "Katz さん" であり,ここから,"客観的" という発想が出てくるのですけど,三女神はそうではないのです。"あの人" がたくさんになったものではなく,むしろ "あなた" がたくさんになったようなもの,ですよね。だから,"チ" にとっての "ミ" とかの関係は不思議な関係なのです:

"チ" にとって "ミ" は "タマ"
"ミ" にとって "タマ" は "チ"
"タマ" にとって "チ" は "ミ"

であり,そして逆向きの関係は,
"ミ" にとって "チ" は "内側のタマ"
"タマ" にとって "ミ" は "内側のチ"
"チ" にとって "タマ" は "内側のミ"

となるのです」

「複雑そうに見えるけれど,美しい関係でしょ?

・・・→ チ → ミ → タマ → チ → ミ → タマ → ・・・

これが神々の循環」

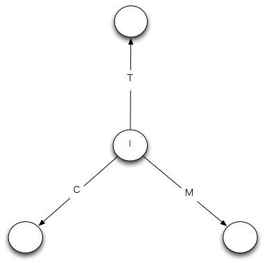
「それでは,三女神の図を完成させましょうね。まず,白丸を3つ書きます。正三角形の頂点になるように書くときれいですね。次に,三角形のまん中にもう1つ白丸を書いて,これが I で,正三角形の3つの頂点は3つとも -I。 それから,まん中の白丸から頂点に3本の線分を引いて,それぞれに C, M, T と書きましょうね。線分 C の頂点から 線分 M の頂点に矢印 T を,といった風に,矢印 T, C, M を引いてできあがりです。これが,私と三女神の関係」

そうですね。ここまででも十分にごちゃごちゃしているのですが,内側が絡んでくると,もっとごちゃごちゃが進むのです。しかも・・・・・・ここまでの説明も,正確には「ひとならではの間違い」を含んでいるのです。修正が必要なのです。

まず,まん中の丸に書かれている I は消してしまうべきです。わたしは鏡であって,もはや「わたし」ではないのですから。また,例えば C と書かれた線分についてだと,鏡が C を見ているという方向性は違和感を伴うでしょう? だから,とりあえず矢印ではなく線分で妥協しているのです。外側の三つの丸に書かれている -I は, 双子のような二人の C が互いに見つめ合っている,という気持ちを表しているに過ぎません。厳密には,いや,厳密どころか適当に考えているにしても意味不明ですが,「人の世界の見方」だと,このような図で済ましておくのが無難,と言うか限界なようです。

間違いを修正した表現することも可能なのですが,「人ならではの見方」から離れるには,色々と準備が必要になります。ここからの話は(も?)退屈でしょうから,聞き流して下さいね。ここまででも聞き流していたかも知れませんが。

Tabatha さんのお話は,まだまだ続きます。そうなのです!Tabatha さんは,ひつこいのです。

矢印の関係式(一般)

"チ" にとって"ミ" は"タマ" なんて言い始めると,客観性の欠片もないようですので,客観性についてひとこと。

まず最初に,クララさんとか Katz さんソーニャさんたちの,いつもの普通の世界から。(誰かが)ソーニャさんとして見ているその人がナウシカさんとして見ている人を,と言うか,ソーニャさんとして見ているということに続いてナウシカさんとして見ているということを,式で表すことにします:

$$ ソーニャ \triangleright ナウシカ. $$

この結果は,いつでも(その誰かが)ナウシカとして見ているということと同じですね:

$$ ソーニャ \triangleright ナウシカ = ナウシカ. $$

そしてこれは,ソーニャさんとナウシカさんに限らず,一般に成り立つこと:

$$ a \triangleright b = b. $$

この関係は,\(a\) と\(b\) が「あの人たち」ならばいつでも成り立ちます。この関係が,「あの人たちの世界」における客観性なのです。この関係が成り立たないことは,自分だけがアナスタシアだと思い込んでいるような「間違い」を意味するわけです。

でも,「わたしとあなた」の場合,つまり\(a,b\) が I とかY だと,もはや成立するとは限りません:

$$ Y \triangleright I = Y,\quad Y \triangleright Y = I. $$

"チ","ミ", "タマ"" の三女神についても,同じです:

$$ チ \triangleright ミ = タマ. $$

こうなると,客観性もなにもないようですが,それでも,どのような場合でも成り立つ関係(むしろ関係式と言うべきでしょうか)は成立しているのです:

$$ (a\triangleright b)\triangleright c = a\triangleright (b\triangleright c). $$

つまり,三つの矢印の連結は,二つの矢印の連結ともう一つの矢印との連結と解釈することができるということ。それともうひとつ:

$$ a\triangleright 1 = a,\quad 1\triangleright a = a. $$

\(1\) は"それ自身" を表します。その意味では,今まで " I " と書いてきたものと同じなのですが,I は「あなた」に対しての「わたし」という意味で,とても思い入れの強い「わたし」なのです。一方,ここでの\(1\) は,あるひと(もしくは,ひとでないだれか)から見てのそれ,というだけの抽象的な「それ自身」であり,なんの思い入れもありません。

「内側のわたし」とか「クララさんの内側」についても,そのような思い入れの強そうな言葉は控えて,もっと無味乾燥に「わたしの双対(dual)」とか「クララさんの双対」と言うことにしましょう。\(a\) の双対は,今まで通り \(-a\) で表します。一般に,\(a\) の双対の双対は\(a\) です:

$$ -(-a) = a. $$

\(1\) の双対としての\(-1\) は,なにかと微妙です。\(1\) は「わたし」ではなく単なる「それ自身」なので,「それ自身」の双対というものに意味があるのでしょうか。面倒なので,無視しておきましょう。

ここまでが,「あの人たちの世界」,「あなたとわたし」,「わたしと内側のわたし」,鏡としての私と三女神,などすべてで成り立つ「矢印についての関係式」です。

矢印の世界

まず,「あの人たちの世界」での関係式に戻りましょう。

$$ ソーニャ \triangleright ナウシカ = ナウシカ. $$

"ソーニャ" は「誰かがソーニャさんとして見ている」ということをあらわす矢印で,左辺の"ナウシカ" は「誰かがソーニャさんとして見ている人がナウシカさんとして見ている」ということを表す矢印です。一方,右辺の"ナウシカ" は,「その誰かがナウシカさんとして見ている」ということを表す矢印ですね。 つまり,「あの人たちの世界」における矢印は,「誰から見ての誰」という矢印であって,矢印に"ナウシカ" と書いてあったとしても,それは矢印が「どこへ」の矢印であるかを表示しているだけのものに過ぎません。"ナウシカ" と書かれた矢印の逆向きの矢印は? などと聞かれても,矢印に書かれたラベルだけからは答えようがないのです。この世界では,矢印の終点(矢印の向かう節点)に,"ナウシカ" とか"クララ" とかいう意味を与えることができます。つまり,矢印の図式だけから,節点に意味を決めてしまうことができるわけです。まあ,もともとは節点がクララさんとかソーニャさんだった世界ですから,当たり前のことなのですが。

つぎに,「わたしとあなた」の小さな世界。この「見つめ合うふたりの世界」の図式では,二つの "I" のどちらがクララさんでどちらかKatz さんなのか判別する必要はありません。この小さな世界が別のふたり・・・・・・どなたとどなたにしましょうか・・・・・・まあ,それは良いことにして,どのふたりの世界であったとしても,I と Y の図式は同じです。また,I の逆向きの矢印は I で,Y の逆向きの矢印は Y ですから,この世界では,逆向きの矢印にマイナス記号をつけて表すことはできません。

それでは,「三女神と鏡であるわたし」の世界ならではの「矢印の図式」について:

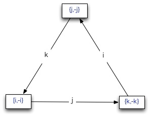
まず,三女神は「ニャーのものたち」で,これはこれで良いのですが,「わたし」は,「あの人たちの世界」とか,「わたしとあなた」における思い入れの強い「わたし」から離れた「鏡のようなわたし」なので,しかも,その「鏡のようなわたし」は特定の三女神と向き合っているからこその「鏡」なのですから,それを指す言葉を用意しておくべきでしょう。ここでは,三女神と(三女神ではないが)三女神に対しての鏡のように機能している「わたし」をまとめて,「ニャノン」と呼ぶことにします。したがって,四つの「ニャノン」の間の矢印の関係式を調べることになります。\(a,b,c\) などの文字は,以下の\(8\) 種の矢印のどれかを表します:

$$ i,\, k,\, j\, -i,\, -k,\, -j. $$

ここで,"チ" を\(i\), "ミ" を\(k\), "タマ" を\(j\) と書き換えています。その方が,数式らしくて格好よいので。

まず,矢印 \(i,j,k\) の逆向きの矢印ですが,これは,それぞれ \(-i,-j,-k\) をあらわします。\(1\) は向きのないループですから,「その逆向き」は考えません。また,\(-1\) については,触れないことにします。

それでは,\(i,j,k,-i,-j,-k\) と\(1\) について成り立つ関係式を:

$$ i\triangleright j = k,\quad j\triangleright k = i,\quad k\triangleright i = j. $$ $$ j\triangleright i = -k,\quad k\triangleright j = -i,\quad i\triangleright k = -j. $$ $$ i\triangleright (-i) = j\triangleright (-j) = k\triangleright (-k) = 1. $$

これらの等式は,飲んだくれのHamilton さんから伺った式なのです。Hamilton さんのおっしゃることには,一般論としては \(i+j\) とか \(2i-j+3k\) とかの式を計算することもできると言うことなのですが,ここでは,そこまで踏み込む必要はありません。

ニャノンの図式で,もう一つ,大切な関係式は,矢印 \(a\) とその矢印の逆向きの矢印 \(b\) の合成は必ず,\(1\) に等しいということです:

$$ a\triangleright b = 1. $$

矢印 \(a\) が \(i,j,k,-i,-j,-k\) のどれかならば,逆向きの矢印はそれぞれ \(-i,-j,-k,i,j,k\) ですから,確かに,この等式が成り立っています。

三女神の双対

さて,ニャーのものたち,つまり三女神は,それぞれその双対と見つめ合っているのです。例えば"チ"についてだと,銀のお盆を一緒に持ってクルクル回っている「この花の咲く姫」と「この花の散る姫」のように,互いに見つめ合っているのですが,どちらが"チ"でどちらが"チの双対"なのか,つまり,どちらが \(i\) でどちらが \(-i\) なのか,判別することができないのです。「この花の咲く姫」と「この花の散る姫」ならば,やはりどちらがどちらかわからないのですが,このおふたりならば,双子の「この花姫」と言ってしまえば,厄介な「判別不能」の問題に触れずに済みます。でも,"チ"となると双子に名前をつけるのは難しいので,判別不能なおふたりを \(\{i,-i\}\) と表すことにしましょう。どちらを先に書いているかは問題ではないのです。\(\{-i,i\}\) と書いても構いません。

さて,ここでも修正が必要なのです。実は,双子の「この花姫」と捉えること自体が,「ヒトならではの見方」なのです。つまり,私たちは,どうしても,クララという矢印の指す節点(終点)が「クララ」と思いたいのですが,「ヒトならではの見方」を離れるならば,二つの単なる節点と,その間を結ぶ2つの矢印として見るべきです。つまり,「この花の散る姫として見ている」ということを表す矢印と「この花の散る姫として見ている」ということを表す逆向きの矢印の図式として捉えるべきなのです。そして,このお二人は・・・・・・ではなく,この矢印は,クルクル回っているのです。

残念なことに,\(\{i,-i\}\) の矢印 \(i\) (とその逆向きの矢印 \(-i\) )も,クルクル回っている矢印なのです。二つの節点を目で追うこともできません。二つの節点がまわっていて,それらは(矢印の終点を矢印の名前で呼ぶことにすると) \(i\) と \(-i\) であることは分かっているのですが,個々の節点を見分けて \(i\) なのか,それとも \(-i\) なのか判別することはできないのです。判別できないのだから,双子の \(\{i,-i\}\) とでも言っておきましょう。

ミやタマについても,双対とのペアは \(\{k,-k\}\), \(\{j,-j\}\) と表されます。それでは,例えば \(\{i,-i\}\) から \(\{k,-k\}\) へ引かれた矢印なのですが,これは,\(j\) と決めてしまいます。それが \(-j\) である場合も考えたくなるのですが,これ以上面倒くさくなっても嫌なので,やめましょう。

同じく,\(\{k,-k\}\) から \(\{j,-j\}\) へ向かう矢印は \(i\) で,\(\{j,-j\}\) から \(\{i,-i\}\) へ向かう矢印は \(k\) と,符号を決めてしまいます。

これが,ニャーのものたちだけの世界なのです。これを自然な状態と言うことにしましょう:

自然な状態では,例えば \(\{i,-i\}\) と\(\{k,-k\}\) との間には,\(\{i,-i\}\) から\(\{k,-k\}\)への矢印 \(j\) と,その逆向きの矢印 \(-j\), つまり \(\{k,-k\}\) から \(\{i,-i\}\) への矢印 \(-j\), という \(2\) 本の矢印があるので,\(\{i,-i\}\), \(\{j,-j\}\), \(\{k,-k\}\) の間の矢印は全部で \(6\) 本あることになります。

これら\(6\) 本の矢印の「どこからどこへ」を表す節点,例えば \(\{i,-i\}\) は,「互いの双対と見つめ合うペア」ですから,これは 矢印 \(i\) と矢印\(-i\) の図式だと考えることになります。つまり,ここにも \(2\) 本の矢印があるので,最初の \(6\) 本の矢印に加えて,\(2 \times 3 = 6\) 本の矢印があることになり,矢印は全部で\(12\) 本です。なお,ペアを表す\(2\) 本の矢印の節点は,単なる二つの点です。

三角形を作る矢印\(i, j, k\) の「どこからどこへ」をあらわす節点は,それ自身が(\(2\) 本の)矢印であり,それら\(2\) 本の矢印の「どこからどこへ」をあらわす節点は「単なる節点」ですから,この図式で意味を持つものは,\(12\) 本の矢印のみなのです。図式には,逆向きの矢印を分けて書き込む必要はないので,図式には \(6\) 本の矢印があることになります。

鏡よ鏡

いよいよ,鏡であるわたし,としての鏡の出番です。

鏡は,自然な状態では判別不能なペア \(\{i,-i\}, \{j,-j\}, \{k,-k\}\) を,三女神 \(i,j,k\) とその内側の三女神 \(-i,-j,-k\) に分離させるのです。これは,鏡が「ニャーのものでないニャノン」,つまり,「わたし」という「ヒトの視点」を引きずっているためなのかもしれません。銀のお盆を一緒に持ってクルクル回っている双子の「この花姫」を,「このはなさくやひめ」と「このはなのちるひめ」として固定してしまうのです。

こうして,三女神 \(i,j,k\) が鏡を覗き込む世界ができあがります。そして,三女神は,鏡の向こう側に内側の三女神を見ているのです。

さて,ここで,鏡というものが問題になります。

クララさんが化粧台の鏡を覗き込むとき,クララさんがチェックしているのは「外の世界でのクララ」ですね。ナルシスさんのような風変わりな方ならば,「なんてきれいなボク」という「わたしの世界のわたし」なのかもしれませんし,また,ちょっと面倒な性格の方ならば,鏡を覗き込みながら「わたし自身」に問いかけているのかもしれませんが。いずれにせよ,これは普通の鏡の使い方です。それでは,「鏡よ鏡,世界で一番美しいのはだれ?」と問いかける女王さまの場合は?

この方が,鏡に映っている自分自身に問いかけているならば,この方は「ちょっと面倒な人」であり,小説に登場するならばともかく,白雪姫の登場人物としては相応しくないでしょう。

それでは,自分と同じ姿だが違う自分,つまり,「内側のわたし」に問いかけているならば? これは魅力的な解釈ですが,まず,「鏡よ鏡」と問いかけている言葉を尊重しましょう。女王さまに答えているのは鏡なのだと解釈することにします。しかし,鏡が答えることができるならば,鏡は女王さまを見ているということになります。それでは,世界で一番ふざけた変型にさらされて来たあの名言を使って,やはり,ふざけた変型を宣言しておきましょう:

「あなたが鏡を見つめるとき,鏡もあなたを見つめているのだ」

これをそのまま,三女神に当てはめます。

「\(i\) が鏡を覗き込むとき,鏡も\(i\) を見ているのだ」

こうして,鏡という節点から \(i\) へと, \(i\) という矢印が引かれることになり,その逆向きの矢印は \(-i\) ですね。\(-i\) は鏡への矢印であり,「鏡の向こう側にあるなにか」への矢印ではないのですが,気にすることはありません。「鏡をみている」ことと「鏡に映っているものをみている」ということ,もしくは,「鏡の向こう側の何かを見ている」ということの区別が生じるのは,鏡というものに実体性を要求する「外の世界」での区別なのです。

こうなると,「\(i\) が」鏡を見ているという必要もなくなります。鏡が \(i\) という姿を見ているという矢印の「どこへ」にあたる節点から鏡へと,逆へ向きの矢印 \(-i\) が引かれているというだけのことで,今まで,「三女神のひとり \(i\)」 として考えていた節点は,矢印と矢印をつなぐ単なる節点に過ぎないということになります。

(今まで \(i\) と呼んでいた)節点から鏡へ \(-i\) という矢印が引かれているのと同じく,( \(k\) と呼んできた)節点から鏡へ \(-k\) という矢印が引かれています。そして,やはり,鏡から( \(k\) と呼んできた)節点へ矢印 \(k\) が引かれてます。矢印 \(-i\) と矢印 \(k\) は,鏡を中継点としてつなぐことが可能:

$$ (-i) \triangleright k = -(i\triangleright k) = -(-j) = j. $$

こうなると,鏡というラベルのついた接点も,ラベルを剥がして単なる接点と見なしてかまいません。

ニャノンの世界でも「鏡を見つめている」と言うことはできるのでしょう。でも,単なる中継点となった鏡は,「なにかを認識することによる変化」というものを引き起こすことはありません。鏡は,影響を与える力を持たない無為の鏡であって,「世界で一番美しい人は・・・・・・」と答えて女王様に働きかけるといった力を持つ,有為の鏡ではないのです。ニャノンの世界は,「見つめる」が変化を引き起こすことがない世界なのです。

無為の鏡とはいっても,その存在は矢印のつながり方を変化させます。自然な状態での\(12\) 本の矢印は,そのまま\(12\) 本の矢印なのですが,矢印の「つながり方」は変わるのです。

自然な状態の図式だと,三角形の頂点にあたる三つの節点では,例えばそのひとつ頂点 \(\{i,-i\}\) では,それは図式であり矢印 \(i\) と\(-i\) は二つの「単なる節点」で結びつけられています。鏡は,矢印 \(i\) の「どこへ」にあたる節点,これは矢印\(-i\) の「どこから」にあたる節点ですが,それはそのままで,矢印 \(i\) の「どこから」にあたる節点を,\(i,j,k\) について共通の一つの節点に結びつけてしまうのです。その共通の節点は,最初は鏡としての意味を持っていたとしても,その意味は失われます。単に,共通の一つの節点というだけのものに過ぎません。一方,三角形の辺にあたる矢印の節点は,共通の一つの節点を「どこから」とする矢印\(i,j,k\) の,「どこへ」にあたる節点(つまり,わたしたちが,\(i,j,k\) と名付けたくなる節点です)が受け持つことになります:

自然な状態にせよ,鏡という節点を使って変化した状態にせよ,どちらの図式にも「わたし」や「鏡という姿」というラベルのついた矢印は登場しません。その意味では,変型後の図式も,「三女神(のペア)」の図式に変わりません。ただ,ニャーのものたちから成る three nyanons の図式は,矢印のつながりを変えて four nyanons の図式へと変わるのです。

ついでですが,三角形の頂点,例えば \(i\) の終点は単なる節点ですから,その節点に「互いに見つめ合っている」という気持ちの記号を書き込むことは,できません。それは,自然な状態と鏡が変化させた後の状態を混同した間違いなのです。「互いに見つめ合っている」と言いたいならば,その節点と(鏡を表していた)節点について言うべきです。

君の望まない永遠
(としての岩石姫)

Tabatha さんの暴走は,まったくひどいものです。Katz さんは最初から諦めているので,クララさんを「見つめる」ことにより幸せな世界に浸っているのですが,話しについて行こうとしていたクララさんは気の毒です。Tabatha さんと雖も,さすがに自制心というものの欠片は持ち合わせているらしく,ようやく,Tabatha さんのお話も,人間界のものの見方に戻って来ます:

鏡により,「互いに見つめあっている区別できないペア」が区別できる二人に分離する話をしましたが,これを双子の「この花姫」に当てはめて見ましょう。

銀のお盆を一緒に持ってクルクル回っている双子の「この花姫」は,一瞬のうちに消滅し,また,一瞬のうちに復活することを繰り返します。これは,「花は咲いて,そして散る」という双対を意味すると同時に,この「儚い美しさ」は,「消滅と生成を変わることなく繰り返す」という「永遠」と双対になっているのです。そして,日本の感性は,「永遠」よりも「儚い美しさ」に,強く共鳴するようですね。わたしやクララさんには,ちょっと不思議なのですが。

杯に映った月のような儚さを望むか,それとも,永遠を望むか,私たちなら本当の永遠を選ぶのに,日の本の感性は水月を選ぶようですね。つまり,私たちの民話の「ふたりは末永く幸せに暮らしました」という結婚の意味は,私たちにとっては,死後へと続く永遠,神により結びつけられたふたり,を意味するのに,ここの人たちは,死ぬまでの僅かな時間の「ずっと幸せに」を指している,と思っていらっしゃるのでしょう。

さて,自然な状態での「見つめ合うふたり」が分離されると,儚さを好む心は,鏡が見る姿として花の姿を当てはめることになります。散ってしまったのでは花の姿は見えないので,差し上げる御名前は「このはなのさくやひめ」。「散る」については,寿命が永遠でなくなったということで,十分に捉えられています。「咲く」の双対を死のニュアンス「散る」と捉える必要はなくなっています。したがって,「このはなのさくやひめ」の双対は,自然の状態の特性「永遠」が受け持つことになり,儚い花の対極にある不動の「岩」が御名前として相応しく,「岩永姫」。でも,花の儚い美しさと並んで岩石のような永遠がいらっしゃったとしても,それは「岩石ゴーレム」のようなものですから,美人とは描写できないですね。移り変わる人の世界から,お引き取り願うことになるのでしょう。

ところで,例えばニャノンのペア \(i\) と \(-i\) が対消滅する場合にニャートリノという形でエネルギーを放射し,また,ニャートリノのエネルギーを吸収して対生成される,などということはありません。ペアは,周囲に何の影響も与えずに対消滅し,また,周囲からの影響なしに対生成することができるのです。

対消滅のプロセスでは,まず,矢印 \(i\) の二つの節点(始点と終点),それはまた,逆向きの矢印 \(-i\) の終点と始点でもあるのですが,この二つの節点が互いに近寄り,一つの節点となります。その結果,\(i\) はその節点を始点としてその節点自身を終点とする向きのあるループになり,\(-i\) もまた,同じ節点での向きのあるループになります。ここまで,矢印の足し算というものは考えないことにしてきたのですが,足し算のひとつのケースだけは宣言しておきましょう:

「矢印 \(a\) の始点・終点が矢印 \(b\) の始点・終点とそれぞれ一致しているときには,矢印の和 \(a+b\) を考えることができる」

したがって,ループ \(i\) とその逆向きのループ \(-i\) の和は\(0\) と等しくなり,消滅するとみなすことができます:

$$ i + (-i) = 0. $$

そして節点は,他の矢印が関与していないならば,(矢印の節点ではない)単なる点となるので,これも消滅するとみなすことができます。

ただし,\(i + (-i) = 0\) という式は,\(0\) と等しいということを意味しているのであって,左辺が強制的に \(0\) に変えられてしまう,というわけではありません。\(0\) はまた,\(i + (-i)\) に等しいのです。

これが対消滅のプロセスです。変化として実際に起こっていることは,二つの節点が一つになるということだけなのです。それでは,何が原因でそのような「ひとつになる」が起こるのか,また,何が原因で一つの節点が二つの節点に別れるのか,これは分からないのです。ニャノンの世界はそのようなもの,と考えるしかありません。

\(i\) の(したがって \(-i\) の)二つの節点のひとつが鏡に置き換わることもできます。その場合,かって「単なる鏡としての私」であり,それから「単なる鏡」となった鏡は,鏡であることも捨てて意味を持たない節点に変わります。ですから,鏡が \(i\) の姿を見ているからといって,節点がその記憶を留めるわけではないのです。単なる節点が鏡を経て「わたし」に戻ったとしても,記憶は残りません。それでも,「わたし」は,それを経験しているのです。記憶として思い出すことはできないにしても,その後の「わたし」には,その経験が影響するのでしょう。節点に置き換わったことのある「わたし」は,物語を作って「このはなのさくやひめ」の姿を描くかも知れません。でも,節点である鏡は,「このはなのさくやひめ」を見ても,「このはなのちるひめ」は見ていないのです。区別できない二人の姿として,区別できないのだから同じとばかりに「このはなのさくやひめ」の姿を押しつけるしかありません。というわけで,銀のお盆を一緒に持ってクルクル回っている二人は,「このはなのさくやひめ」の姿の双子となるのでしょう。

ところで,鏡が「このはなのちるひめ」の姿を見るように置き換わったとしたら? それも,あり得るのかも知れません。その「わたし」の語る「このはなのちるひめ」の姿は,「散る」という現象そのものなのでしょう。物語は,冥府に訪ねて行ったきりで満足して戻ってこない,という結末になりそうです。でも,アエネーアスさんが冥府でディードさんに許してもらって「末永くともの暮らしました」では,ローマの建国ができないのです。人間界の物語として,あまりふさわしくありません。

Tabatha さんのお話は,相変わらずの手前勝手な暴走なのですが,それでも,人の世界の視点に戻ってきては居るのです。節点が意味をもたない矢印だけの世界は,むちゃなのです。節点が「チー」とか「ミー」とかの意味を持つ解釈に戻らないと,イメージがわきません。Tabatha さんのお話は「私たちの世界」の視点に戻って来たのですが,その結果,「Tabatha-Hamilton 理論」の視点からは「間違った解釈」に戻ることになります。要するに,ここからは,「いかにして,神話(という人間界で理解可能な物語)における支離滅裂が生じたのか」という解釈(Tabatha さんならではの強引な解釈)なのです。

共鳴対+異質のもの

Tabatha さんのお話は「私たちの世界」に戻ってきているのですが,「私たちの世界」の「私たち」には,おそらくTabatha さんだけしか該当しません。クララさんたちとっては,Tabatha 宇宙でのお話であることに,変わりはありません。それでも幸いなことに,これからストーリーでの(例えば)"タマ"は,Tabatha さんが最初に書いた図の「四角で囲まれた」"タマ" であり,「"タマ" として見ている」という矢印ではないのです。まあ,少しはましになっていると言えるでしょう。

「さて,鏡として三女神に向き合った人が,人間界に戻ってきたとしましょう。ヒトとしてニャーのものたちに向き合ったのではないので,記憶というものはありません。その人は,なんとかして,その人が知っているはずの"ニャーのものたちについての真理"を探し出そうとします」

「最初に,チーという女神さまを発見したとしましょう。冷たく言うならば考え出したと言うこともできるのですが,過去の経験の影響を受けているのですから,勝手な空想と言うのは,言い過ぎですね」

「それから,タマという女神さまを発見するのですが,ここで,過去の経験は,ヒトの理解には都合が悪いことも発見してしまいます。つまり,チーはタマをミーとして見ているのです」

これが「困ったこと」であることには,Tabatha さんだけでなくクララさんたちも異存はないようです。Tabatha さんの話は,続きます。

「せっかくニャーのものたちの"真理"を見いだしたのに,整合性のないストーリーでは困ります。なんとか解決しようとすることでしょう。簡単な解決は,"ミー" と"タマ" は同じニャーを指していると理解することです。そしてその場合,"タマ" は"チー" を"内側のミー" として見ていることになります。そうですね,この人は,ニャーのものは互いを双対とみる,という"真理"も宣言しているわけです」

「"ミー" と"タマ" は同じ,とするためには,名前を変えて"ミタマ" とするという手があります。この場合,"ミー" と"タマ" は一つのニャーのもの"ミタマ" と解釈されることになるでしょう。でも,最初にニャーのものは三人と思っていたならば,例えば,その人が三女神に会いたいと願って鏡に向き合っていたならば,"ミー" と"タマ" は一つのニャーのものではあり得ません。しょうがないので,どちらかはフェードアウトしてもらうことにしましょう」

「これが,前にもお話しした共鳴対+異質のもの が生じる仕掛けです。"ミ" と"タマ" が共鳴対で,最初に登場した"チ" が異質のもの となるわけですね」

「ここで,人間界ならではの役割付けが発生するのです。"チ" は "ミ" と"タマ",もしくは,"ミタマ" に,「内側の」を意味するマイナス記号付きの姿で見られているのです。その結果,"チ" は「死」の影を引きずることになるのでしょう。いつものように,黄泉の国にお引き取り願うのが良さそうです」

「こうして,最初に登場したニャーは黄泉の国に去り,共鳴対は一つのニャーとして,もしくは,どちらかがフェードアウトして,いつものパターンでストーリーを終えることになるのです」

「いずれにせよ,お話に登場する"チ,ミ,タマ" の姿は,人の世界で見える姿として作られた神形であり,まあ,その時その時にあわせたそれらしい姿をとることになるのでしょう。ついでに言うと,"内側の" は生に対する死である必要はなく,"タマ" が "霊" ではなく "玉" のときは性別として神形に現れることもあるのですが,この話は止めておきましょうね」

期待したのが愚かでした。Tabatha さんの話は,死に絡もうと絡むまいと分からないという点に関しては共通なのです。

イデー

「それからね,お願いをしたり他の人を呪ったりということのために,神々に向かい合おうとする人たちも居るでしょ。いわゆる,魔法使いとか祈祷師とか。わたしは,こんな技術には興味ありませんから,クララさんは安心して下さいね。これは本当にきわどい技術なのです。まっすぐな鏡では,"お願い" とか "呪ってね" とか持ち込めないから,ある程度 "歪んだ鏡" にしなければならないのです。しかし,歪みすぎると,もう鏡ではないから神々を映せないのです。ただ,こんな "神々を操る" ようなことを試みなくても,"死" というものの私たちのイメージを持ち込むだけで,鏡はちょっと歪んでいるのでしょうけど。本当に "私" を真っ直ぐで他の性質を持たない単なる "鏡というもの" にできるならば,三女神は純粋に美しい調和で,変わることのない循環であり,時間とか歴史とかいうものとも無縁なイデーなのでしょうね」

ちょっと不用意ですが,クララは思わず考えていたことを言ってしまったのです。

「ソーニャさんについて来てもらえば良かった!」

これは,「こんな分からない話はソーニャさんにお任せしたいのに」ということであり,クララは言ってしまった後で「しまった!」と慌てたのですが,Tabatha さんは,別の意味に受け取ったようです。

「ソーニャさんね! あの人ならなんと言うかしら。Tabatha さんは仏教の勉強をずいぶんしたのに,やはり,神々を実体性のあるイデーと考えたいのですね。やはり,心の土台は西洋人! と,こんな所かしら? でも,私だって,三女神というイデーも数とか図形とかのイデーと同じで,他のイデーを縁として成立していることくらいわかっています。ただ,日本の三女神というものをイデーとして捉えようとしたとき,神形そのままで捉えるのは無理で,別の道を選ぶ必要があるという事なんですけどね。そう,ソーニャさんなら,たぶん,もっと前に突っ込んできますね。"この私の内側とおっしゃるのならば,その私も心所ですね" とか。あの,ツンと上を向いた可愛らしい鼻の頭をピクピクさせて!」

「お疲れでしょ? お茶にしましょうね」

Tabatha さんはすっと立ち上がり,大きなガマガエルの置物を持ってきて机に置くと,お茶の用意をするために台所に行きました。この置物は,Tabatha さんの居ない隙に Katz さんが暴走しないための牽制なのでしょう。理解不能な話の効果で Katz さんは漠然とした不安に襲われ,クララさんがそこに居ることを,しっかり抱きしめて確認したい気持ちになっていたのです。

Clara Pteromys

お茶の時間になりました。しかし,安心して良いのでしょうか。一般的に言ってTabatha さんという人の話は,そう簡単に終わるものではないはずです。心配していたとおり,お話はまだまだ続きました。そしてガマガエルの置物で Katz さんを牽制しておいたことなのですが,それは Katz さんの暴走を止めるためというよりは,Katz さんの暴走を見たかったためだったのでしょうか。

「名前というものも不思議ですよね。単に一人の人を特定するための記号であるならば簡単なのですけど,"名前を教える" ということは特別な意味をもつ場合がありますよね」

「それでは Katz さん,これは単なるお話ですから,じっとして聞いていて下さいね」

なにやら警戒心をかき立てる御注意と共に,Tabatha さんのお話が始まりました。


Katz さんはクララさんと一緒に,夕方の小道を歩いています。そこは本来は参道なのですが,お二人にとっては,神社の境内を通り抜ける便利な近道でした。辺りに人の気配はありません。もうすぐ雨が降ってきそうで,薄い霧のような空気がひんやりと肌を湿らせます。足下の白いはずの玉砂利は湿気を含んで淡く沈んだような色に変わり,両側に並ぶ背の高い木々は,すでに雨が降ったかのようなヒンヤリとした感じの葉を重ねて空を遮っています。

Katz さんが鞄から折りたたみ傘を取り出すためにクララさんの手を離し,そして鞄に目をやったその一瞬,クララさんの気配がフッとなくなり,振り向くと,クララさんはそこに居ませんでした。
その時から何ヶ月もの間,Katz さんはクララさんを探し続けました。しかし,手がかりは何も見つからなかったのです。疲れ果て,何をして良いか分からなくなってしまった Katz さんは,クララさんと一緒だった頃のお気に入りのオープンカフェで,ひとり丸テーブルを前に座り,ホットココアのカップを見つめています。
人の気配を感じて,Katz さんがじっと俯いていた顔を上げると,そこには小さなモモンガーを連れたクララさんの姿がありました。椅子から飛び上がり抱きつこうとする Katz さんを,クララが,しかし,クララでない声のクララが厳しく静止します。
「ステイ! Katz さん,ステイ! さあ,椅子に腰を下ろして,手はお膝! Katz さん,私はクララの姿をしていますが,クララではありません。クララは,このモモンガーです」
思いがけなくも妖しげな宣言をして,このクララの姿の誰かはポーチから小さな砂時計を取り出し,逆さまにしてテーブルの上に置きました。砂が落ち始めます。
「砂が落ちきるまで3分。その間に選ばなければなりません。ですから,色々な説明は出来ないのです。Katz さん,Katz さんは私を選ぶことが出来ます。私を選ぶならば,砂が落ち切った途端に私は私ではなくなり,クララさんの記憶,クララさんが消える直前までのクララさんの覚えていたことや忘れてしまったことを,全部そのまま引き継いだクララさんに成ります。性格や考えることも,それから何気ない仕草も,Katz さんとクララさんしか知らないはずの色々なことも,すべてクララさんそのまま。Katz さんは,そのクララさんと何時までも幸せに暮らすことが出来るでしょう。もうひとつ,Katz さんはモモンガーになったクララを選ぶことも出来ます。でも,モモンガーはモモンガーです。クララとしての一片の記憶も無く,クララとして振る舞うこともありません。それでも,このモモンガーはクララなのです」
「砂はまだ半分残っています。よく考えて! そんなに簡単に決めてはいけません。モモンガーはモモンガーですよ,Katz さん。あなたがモモンガーを選んだところで,モモンガーは嬉しく思うわけではないのです。新しい飼い主が決まったというだけのことです。ああ,でも,Katz さんはモモンガーを選ぶのですね。私は,もうクララの声で話しているというのに。でも,そうですよね,Katz さん,あなたはモモンガーを選びますよね」
こうして,Katz 伯は肩にモモンガーを載せて,幸せそうに去って行ったのでした。これが,クララという名前を識るということなのです。


Tabatha さんが企んだ通り,Katz 伯はかなり動揺しているはずです。しかし,お話の中の Katz さんが命じられた「手はお膝」が効いたのでしょうか,健気にもお膝にちゃんと手を当てて座っています。

「 Katz さんが最初にクララさんを好きになったのは,クララさんのなんらかの特徴が原因。そして,さっき,私の話なんか聞かないで,"ああ,クララ! どうしてこんなにクララなんだろう!" という表情を隠そうともせずにクララさんを見つめていたときも,クララさんの髪とか,唇とか,ほっぺたとか,それからどこかは知りませんけど,クララさんのなんらかの特徴を見つめていたはずです。しかし,最初に Katz さんを引きつけたのは他の人と比べることの出来る特徴だったのでしょうけど,さっき見つめていた "特徴" は,もはや比べることのないクララさんの特徴なのです。"クララ" という名前の人を,"その特徴があるから好き" なのではなく,"クララだからその特徴が好き" というふうに逆転しているのです。そして,モモンガー・クララを選んだ理由は,それがクララだからであって,その時にはもう,すべての特徴から離れてしまっているのです。この "クララだから" という "クララ" が特別な意味での "名前を識る" というときの "名前" なのです」
「ソーニャさんならば,それではモモンガーがクララであるということの意味は? とうるさいでしょうね。しかし,魂とか霊とか持ち出さなくても,"このモモンガーがクララ" というだけで Katz さんはモモンガーを選ぶでしょ? 」
「やはりそうですよね。Katz さんは幸せそう。 ・・・・・・でもね,Katz さん,モモンガーの寿命は短いのです」

この追い打ちは,安房さんのような複雑な性格の人にならともかく,Katz さんには,あまりにも残酷だったのです。クララはだまって片腕で Katz さんの頭を抱えると,ぐっと胸元に引き寄せて,Katz さんの顔を Tabatha さんから隠し,ちょっと非難を含む視線でしっかりと Tabatha さんを見返しています。Tabatha さんは,変わった性格の人であることは確かなのですが,ちょっとやり過ぎではないでしょうか。しばらく考えているようでしたが,Tabatha さんは,この上更に踏み込んできます。

「ソーニャさんならば,あっさり結論を出すのでしょうね」
「特徴から離れた "クララ" がモモンガーであっても,モモンガーは "クララである" という以外なにも引き継いでいないのであって,霊とか魂とか,そういった実体を引き継いでいると考えるのは誤り。だから,モモンガーが死んでしまったとき,それを "死" と捉えることもできるし,もしくは,すべての生き物は "クララ" と捉えることも可能であり,それは Katz さんが選ぶこと」
「たぶん,こんなところでしょうね。しかし,三女神を識るためには,ソーニャさんほどインド趣味に徹するのはどうかと思います。特徴を離れた "クララ" はモモンガーまでで留めておきましょう。三女神の名前,例えば,"チ","ミ","タマ" も "クララ" と同じく特徴を離れることのできる特別な名前なのですが」

ようやく,三女神に戻ってきました。なんだか,Katz さんをもてあそぶために遠回りをしているみたいに思えるのですが,Tabaha さんもそれなりに控えるところは控えているのです。例えば,ソーニャさんの台詞の "それを死と捉えることもできるし" というときの "死" は,"クララの死" なのですが,さすがにダイレクトにその言葉を言うことは控えているのです。

さて,女神さまの "名前" が "クララ" と同じということなのですが,この点に関しては,Tabatha さんがクララさんに言わないでいることもあるのです。それは,Katz さんは「クララ!クララ!」なのに,クララはと言うと,「Katz さん! Katz さん!」ではなく,「そう!クララです!」だということなのです。もちろん,これをクララさんに指摘しても,クララさんは「そんなことないです。私だって,Katz さんが大好きです」と言うに決まっているのですが,そして,だからこそ,クララには言わないでいるのですが,Tabatha さんの見るところでは,クララさんはすでに,幾分か女神さま化しているのです。 意識していないにせよクララさんは,自分が Katz さんの "内側のひと" として Katz さんの瞳の中の「クララ!クララ!クララ!」を覗き込みそれを受け入れる,という女神状態になっていたのです。。

長かった Tabatha さんのレクチャーも,ようやく終わりに近づいています。

「三女神についても,同じことなのでしょう。最初に鏡に現れたときは,クララさんに最初に出会ったときと同じで,その特徴,"チ" の場合なら例えば "小さな鼻の頭の" として現れ,それから特別な意味の名前 "チ" を識るのです。もしかしたら,名前を与えるのかも知れませんが。そして,その名前は特別な意味の名前,つまり,特徴を離れてモモンガーになっても "チ" である名前ですから,"ミ" が "タマ" に言うときの,"あなたは チ" には,必ずしも,"小さな鼻の頭の" といった特徴の描写がつかなくても良いのです。そうですね,鏡となって三女神を映すとき,三女神それぞれの女神さまは,クララさんが Katz さんの瞳の中の "クララ! クララ!" を覗き込むように,それぞれご自分の姿を覗き込むのです。ご自分の姿という言い方は良くないですね。女神さまはいずれも,その双対を見ているのですから。正しくは,Katz さんがクララさんに「クララ!クララ!」であるように鏡が魅入られている姿というべきでしょうね」

ここでクララさんが楽しそうに笑いながら割り込んできました。

「両天秤という言葉はありますけど,女神さま三人とは!」

Tabatha さんも,なんだか楽しそうです。

「そうね,クララさん。でも大丈夫です。そうですね,仮に Katz さんが鏡になったとして,一番好きな女神さまはタマだと言ったとしましょう。喜ぶのはどなたでしょう? タマさんではありませんね。タマさんは「わたし」というものに関心がないので。もしかしたら,"チ" が "ミ" にお祝いを言うかも知れませんけど」

「勘太縁の司教さまがおっしゃってましたけど,神話って支離滅裂ですよね! でも,これでは!」

「クララさんもそう思う? そうですよね,本当に。 これをストーリーに押し込めようとしてもね!」

こうして2人は楽しそうにコロコロと笑いながら,スコーンに生クリームをたっぷりつけてお茶の時間を楽しんだのでした。ところで,勇敢なる騎士 Katz さんはと言うと 「涙の跡を見られるくらいならば,他の人がいることも気にしないで妻の胸に顔を埋めているふしだらな男と思われた方が,まだましだ」という開き直りでじっとしていたのです。しかし,そのような「冷静な判断」とは別に,これは全く Katz さんらしくないことなのですが,言葉をもてあそぶ Tabatha さんには思いもよらぬ,どこまでも拡がる虚空のような静かな寂しさを観ていたのです。ただし,それも,クララさん達がお茶を半分飲む間のこと。Katz さんは何事もなかったように身を起こして,きちんと座り直すと,いつもの Katz さんに戻って遅ればせながらスコーンに手を伸ばしたのでした。

帰り道

もう夜と言って良い時間なのですが,なにぶん日の高い季節でもあり,まだ明かり無しでも平気で歩ける気持ちの良い帰り道でした。クララさんと Katz さんは,ふたりが "Tabatha's Path" と名付けた小道を通って南へと歩いて行きます。人気ひとけの無い道であり,しかも夜ですから普通の人なら警戒モードでピリピリしてしまいそうなものですが,Katz 伯は帯剣の騎士であり,クララさんは騎士夫人です。怖いものなしのふたりは,堂々と楽しげにお散歩を楽しんでいます。

Tabatha さんのお屋敷の敷地,それはお庭と言うべきなのでしょうか,それとも単に所有地と言うべきなのでしょうか,とにかく,その Tabatha 領域はとても広く,細かな地形の変化を取り入れた絶妙な散歩道が続きます。両側が沢になっている開けた尾根道を辿っているかと思うと,今度は鬱蒼とした沢の中を小さな水の流れと一緒に進むという具合ですが,冷静に見れば,沢と言うのもおこがましい僅かな高低であり,広いとは言え距離としては大したことの無いはずの,箱庭のような散歩道に過ぎないのです。それでも,箱庭の中で奥秩父を縦走しているような気分を楽しませるという趣向は見事であり,これも Tabatha さんの日本趣味のおもてなしなのでしょう。

Tabatha's Path の最後の沢に差し掛かりました。この沢を抜けると後は馬車の走れる広い道で,そこをちょっと歩けば直ぐそこに,ふたりの乗ってきた馬車を待たせてあるレストラン,当時流行っていた所謂田舎風レストランがあります。ふたりは,そのレストランでのんびりとディナーをとって,Tabatha さんの猛烈な理論攻勢の余韻を振り払う計画なのです。

クララは,Tabatha's Path の中でも,特に,この沢が好きでした。そこには池と言うには余りに小さな水たまり,透き通った水を通して水底の小石が揺らいで見える小さな水たまりがあり,そのまん中には,猫しかくぐれないような小さな鳥居が3つ,三角形を作って置かれています。Tabath's Path は,この池の淵を飛び石づたいに辿って行くという趣向になっているのです。二人並んでは歩けない細い道をお気に入りの地点を目指すクララが先頭に立って進み,湿った大きな岩の角を曲がると,そこに水たまりスポットが見えてきます。

水たまりの直ぐ上,ほんの数メートル上でしょうか,そこに "月" が浮かんでいました。

よく見ると,月と見えたそれは,表面が鏡のように月の明かりを反射している球体であり,水銀の粒のように柔らかそうではあるのですが,プルプル震えたりすることなしに静かにそこに浮かんでいます。その球体の鏡は真っ直ぐに立つクララの姿を映しています。まるで普通の平らな鏡が映すような,まったく歪みのないクララの姿がそこにあります。

「・・・ 鏡 ・・・あそこに鏡の内側・・・・・・わたし」

立ち止まったクララを,直ぐ後を歩いていた Katz が,両肩から腕をまわしてふんわりと抱きしめます。振り向いたクララは,一瞬で,すべてが分かりました。

(このひとには見えていない。あれは私。内側はすぐそこ)
(怖がらなくても良かったのですね。でも,こんなに心配しているのに,このひとを残して!)

かわいそうな夫の胸に額をつけてそっと涙を流し始めたクララさんですが,しばらくして,もう一度,球体の鏡を振り返り,それから,勇敢なる騎士 Katz さんの胸のなかで本格的に泣き出してしまいました。クララが球体の表面に観たのは,大きな羽を持つ Katz の姿であり,それは,虚空を埋め尽くす如き無数のモモンガーのために羽を広げる Katz さんだったのです。かわいそうな夫を心配していたクララにとって,これは安心して良いはずのお告げだったのですが,しかし,まだ生きているクララにとって,これはとても寂しいことだったのでしょう。

大好きなクララがどうして泣き出したのか見当もつかなかったのですが,分からないことはあまり考えたくない単純なお人好し Katz 伯は,ここぞとばかりに騎士の本分を発揮してクララを守り,かよわいクララの守護者としての満足感に浸りきっていたのでした。

ずいぶん長い間,ふたりは仲よくバラバラの思いに浸っていたのですが,つぎにクララが振り返ったときには,あの不思議な球体はなくなっていました。もともと,そんなものはなかったのかも知れません。Katz さんに抱きしめられて悲しんでいたのは,いったい何だったのか・・・・・・ なにやら混乱した "真実" があったのですが,確実なことは,それが混乱していたということだけです。「すぐそこ」は一日なのか,十年なのか,それとも千年なのか,それも分かりません。いずれにしても人は死ぬのだから,気にしてもしょうがないことなのでしょう。ましてや,Katz さんに天使のような羽が生えていたとしても,それは喜ぶ以外のなにがあるのでしょうか。クララは,満足げに微笑む騎士様の顔を見上げて,この騎士様の背中に天使の羽を想像すると,それは何ともちぐはぐで,笑い出してしまいました。そして気がついたのですが,クララが最初に Katz 伯が好きになったのは,この騎士様の何ともわかりやすい,底なしの単純さだったのです。

「 Katz さん! Katz さん! 大好き! フフッ,Katz さん! 早くボルシチを食べに行きましょ」

こうして,開き直った無敵のクララさんと,それから,かよわき乙女を守るおばかな騎士 Katz 様のふたりは手をつないで,ボルシチにするかビーフシチューにするか議論を戦わせながら,仲よく歩いて行ったのでした。

それにしても,安房さん,Tabatha さん,ソーニャさんと賢き方々がたどり着くことの叶わぬ遙か遠くまで,このおばかな騎士 Katz さんが行くことになるとは・・・・・・

阿呆に勝る叡智は無し!

>